R7 騒音・振動概論 問16
問題
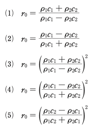
密度ρ1、音速c1の媒質1と密度ρ2、音速c2の媒質2が接続しているとき、2つの媒質の境界面に垂直入射する音の強さの反射率r0を示す式はどれか。
解説
この問題は、異なる2つの媒質の境界における音波の反射、特に垂直入射時における音の強さの反射率を求める公式を問う内容です。
個人的にはマニアックな問題だと思いますので、余裕がある方は以下の解説をご覧ください。
1. 特性インピーダンス(固有音響インピーダンス)
音波が伝搬する媒質の特性を表す重要な指標の一つに特性インピーダンスがあります。これは、媒質の密度ρと音速cの積で表されます。
媒質1の特性インピーダンス:ρ1 c1
媒質2の特性インピーダンス:ρ2 c2
2. 垂直入射における反射率 r0 の公式
音波が境界に対して垂直に入射する場合、音の強さ(エネルギー)の反射率 r0 は、2つの媒質の特性インピーダンスの「差」と「和」の比の2乗で定義されます。
r0 = {(ρ1 c1 – ρ2 c2)/(ρ1 c1 + ρ2 c2)}2
この式は、選択肢 (4) と一致します。
ポイント
インピーダンスの差が大きいほど反射が強くなる:
分子の ρ1 c1 – ρ2 c2 が大きくなるほど(=2つの媒質の性質が大きく異なるほど)、反射率 r0 は高くなります。
2乗の理由:
音圧の反射係数(振幅の比)は (ρ1 c1 – ρ2 c2)/(ρ1 c1 + ρ2 c2) で表されますが、音の強さ(エネルギー)は音圧の2乗に比例するため、公式では全体を2乗します。
解答.
4
次の問題だよ~♪
R7 騒音・振動概論 問17問題
4つの音圧レベル58、60、65、69dBのエネルギー平均は約何dBか。
(1) 61
(2) 63
...
前の問題だよ~♪
R7 騒音・振動概論 問15問題
半自由空間とみなせる工場床面上に設置した機械が、250Hzの純音性の騒音を全方向に一様に放射している。その音響パワーレベルが10...
目次に戻るよ~♪
R7 騒音・振動概論https://pierre-usagi.com/kougai-r7-souon-shindou-gairon-1/
https:...
ABOUT ME
