R7 ダイオキシン類概論 問11
問題
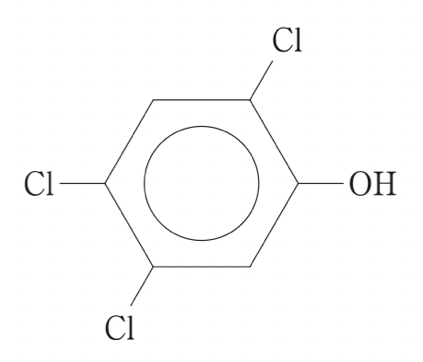
図で表されるクロロフェノールの 2 分子縮合反応により、最も生成しやすいと考えられるダイオキシン類はどれか。
- (1) 2,3,7,8-TeCDD
- (2) 1,3,7,9-TeCDD
- (3) 3,4,6,7,8-PeCDD
- (4) 1,3,4,6,8,9-HxCDD
- (5) 2,3,3′,4,4′,5-HxCB
解説
この問題は、前駆体(クロロフェノール類)からの縮合反応によるダイオキシン類の生成メカニズムに関するものです。
縮合反応とは:
2つの分子にある置換基から簡単な化合物(この場合は塩化水素:HCl)が取れ、それによって2つの分子が結合する反応を指します。
反応の仕組み:
クロロフェノール分子がダイオキシン類(PCDDs)に変わる際、一方の分子の水酸基(-OH)と、もう一方の分子の塩素(-Cl)が反応し、HClが脱離して酸素原子による橋渡し(エーテル結合)が形成されます。この反応が2箇所で同時に起こることで、2つのベンゼン環が2つの酸素で結ばれたPCDDsの骨格が完成します。
生成物の特定:
原料である 2,4,5-トリクロロフェノール は、1位に水酸基、2, 4, 5位に塩素を持っています。
2分子が向き合って縮合すると、酸素橋の位置関係から、残った塩素原子は完成したダイオキシン骨格の 2, 3, 7, 8位 に位置することになります。
したがって、最も生成しやすいのは 2,3,7,8-四塩化ジベンゾ–パラ–ジオキシン(2,3,7,8-TeCDD) となります。
解答.
1
次の問題だよ~♪
R7 ダイオキシン類概論 問12問題
燃焼過程におけるダイオキシン類の生成要因に関する記述として、誤っているものはどれか。
(1) 塩素源存在下での空気...
前の問題だよ~♪
R7 ダイオキシン類概論 問10問題
JIS K 0311(2020) により与えられている TEF に関する記述として、誤っているものはどれか。
(1...
目次に戻るよ~♪
R7 ダイオキシン類概論https://pierre-usagi.com/kougai-r7-dxn-gairon-1/
https://pierre-u...
ABOUT ME
